中文题目:用于深水气田井下压力预测的知识指导型机器学习方法
论文题目:Knowledge-guided Machine Learning Method for Downhole Gauge Record Prediction in Deep Water Gas Field
录用期刊/会议:Offshore Technology Conference Asia, 2024(EI)
原文DOI:https://doi.org/10.4043/34844-MS
原文链接:https://onepetro.org/OTCASIA/proceedings/24OTCA/3-24OTCA/D031S020R004/541869?searchresult=1
录用/见刊时间:2024年2月22日
作者列表:
1)郑海妍 beat365在线唯一官网(北京)信息科学与工程学院/人工智能学院 油气人工智能 博22
2)林伯韬 beat365在线唯一官网(北京)信息科学与工程学院/人工智能学院 教师
3)姜 洁 beat365在线唯一官网(北京)信息科学与工程学院/人工智能学院 教师
4)金 衍 beat365在线唯一官网(北京)石油工程学院 教师
5)彭 龙 浙江海洋大学 石油化工与环境学院 教师
文章简介:
本文提出了一种结合物理模型与机器学习模型相结合来预测井下压力的方法。首先,对井口和井底的历史温度和压力数据进行了收集,并基于井筒多相流理论建立了机理模型,以描述井筒管道的流动行为。接着,利用XGBoost和前馈神经网络构建了数据驱动的井底压力预测模型。最后,在这两个模型的基础上,建立了一个知识引导的机器学习(KGML)模型,将基于物理模型的领域知识作为自适应权重纳入损失函数,以确保在训练过程中遵循物理约束。
摘要:
深水气田通常使用永久性井下压力计 (PDG)来监测井下压力。然而,在高温高压条件下,PDG 在生产初期很可能发生故障,维修或更换 PDG 的费用十分昂贵。因此,建立井底压力计量的高效模型至关重要。本文提出了一种基于物理的模型与机器学习模型相结合来预测井下压力的方法。首先,对井口和井底的历史温度和压力数据进行了收集,并基于井筒多相流理论建立了机理模型,以描述井筒管道的流动行为。接着,利用机器学习方法XGBoost和前馈神经网络构建了数据驱动的井底压力预测模型。最后,在这两个模型的基础上,建立了一个知识引导的机器学习(KGML)模型,将基于物理模型的领域知识作为自适应权重纳入损失函数,以确保在训练过程中遵循物理约束。基于南海深水气田两口井收集到的实际数据,我们进行了一系列实验,旨在评估所提出的井下压力预测方法。与纯数据驱动模型相比,KGML模型显著降低了压力分布偏移,使压力预测的平均绝对百分比误差(MAPE)提高了约 50%。因此,KGML 模型可以定量描述井口温度或压力数据与井下对应数据之间的复杂关系。此外,KGML在气田的不同井场都表现出稳健的性能,这意味着它可以扩展到各种深水气井,以解决PDG故障难题。因此,该模型可为深水区域的井下测量提供一种高效、经济的方法。
背景与动机:
传统的井筒两相流机理模型在预测实际井底压力时存在一定偏差,单纯的机器学习模型存在概念漂移和可解释性差的问题。本文针对凝析气井生产初期的特点,提出了一种嵌入多相知识的数据驱动建模框架。 该方法结合井筒多相流理论知识和智能算法计算井下压力,并通过临井的现场应用验证了该方法的效果。
设计与实现:
本文首先基于井筒多相流理论建立了井底压力机理模型,其次利用XGBoost和全连接神经网络建立基本的机器学习模型,最后通过损失函数连接了机理模型和机器学习模型,主要内容如下:
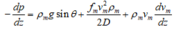
1.井筒多相流机理模型
井筒压降模型主要由重力压降、摩擦压降和加速度压降组成,公式如下:
(1)
其中,ρm是气液混合物的密度(kg/m3);fm是摩擦系数(无量纲);z为井深(m);vm是气液混合物的速度(m/s);D是油管直径(英寸)。
以井口深度(z0)和井口压力(p0)的初始条件,假设温度沿井深线性分布,通过井筒在空间上离散化,并逐段求解温度和压力值,便可得到井筒压力沿深度的分布。
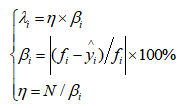
2.知识引导的机器学习模型
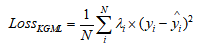
模型训练的本质在于损失函数,当损失函数变化时,会给模型带来不同的预测趋势。一般机器学习的损失函数考虑了模型预测值的观测误差,通常是均方误差,忽略了物理误差。受Ma等人(Ma et al.,2022)研究的启发,KGML方法的损失函数(Eq.2)添加了自适应加权因子。自适应权重允许模型辨别不同样本的重要性,对于物理知识中存在较大预测误差的样本,在损失函数计算中将分配到更高的权重。
(2)
(3)
λi表示分配给机械知识的权重。每个样本都被赋予了一个自适应权重,根据式(4)进行计算。
(4)
实验结果及分析:
1. 知识指导的机器学习模型效果分析
表1 五种模型在测试集上的评估指标

实验结果表明,采用XGBoost的机器学习模型表现出优异的性能,与FNN和多相流模型相比,具有更高的准确性。
在融入知识引导后,两个模型都展现出了更好的预测性能。这表明多相流机理知识权重的整合有助于纠正与理论预期不符的预测,从而产生更具科学可信度的结果,并减轻了机器学习模型中的概念漂移现象。
2. 知识指导的XGBoost模型对数据量的敏感性分析
本研究使用20%、40%和60%的原始数据集进行训练,采用知识引导的XGBoost作为预测模型,评估指标的表现如下:
|
|
图1 不同训练数据量下模型的评估指标
对于仅使用20%的数据集训练的模型来说,机理知识的加入使MAPE降低了60%,R2提高了12%。这突出了机理知识在提供关键先验信息方面的作用,使数据驱动的模型即使在有限的样本下也能稳健地计算。随着数据量的逐渐增加,机理知识对机器学习模型性能增强的影响逐渐减弱。
3. 邻井应用效果
选择邻井175天的稳定生产期的生产数据和井下传感器数据作为测试数据。应用知识指导的XGBoost模型进行压力预测,结果如下:

图2 邻井的井底压力预测结果
结论:
1. 将井筒多相流机理知识与机器学习模型相结合科学可行。在力学知识的指导下,模型不仅能解决数据观测误差问题,还能解决力学拟合误差问题。自适应权重的使用大大提高了预测能力,减少了过拟合,并在测试集上表现出优异的性能。
2.知识引导的 XGBoost是井下压力传感器的最佳替代模型,获得了0.9948的R2 和0.11%的MAPE,该模型在邻井的应用进一步验证了其泛化能力。
3.在样本有限的情况下,机理知识的融入尤其有效。当模型缺乏足够的数据来学习模式时,引入机理知识就变得至关重要。因此,该框架可以扩展并应用于其他低样本问题。
通讯作者简介:
林伯韬, 博士,beat365在线唯一官网(北京)信息科学与工程学院/人工智能学院计算智能教学与研究中心教授/博导。主要研究方向为智能石油工程、工业数字孪生和智慧能源金融。