首 页

学校要闻

为扶贫“双到”助力 给百姓幸福加码

2012年11月27日 00:00   组织人事处   点击:[]

   

——太阳官网夏伟校长率队深入英德市九龙镇石角村慰问贫困户

    11月19日,为进一步落实做好扶贫开发“规划到户,责任到人”工作,由学校夏伟校长带队,学校领导班子成员与相关挂扶责任干部组成的“双到”工作调研组一行23人,在九龙镇镇长孙超的陪同下,深入调研对口帮扶石角村的经济发展、文化建设、新农村建设等帮扶项目,指导对口扶贫“双到”工作。

    夏伟校长一行参观了石角村腐竹厂和由太阳官网捐建的塘埪体育公园、篮球场和农家书屋,并与九龙镇领导共同为塘埪体育公园揭牌。夏伟校长代表学校向塘埪村小组送上由太阳官网捐赠的体育公园配套工程帮扶资金,体育公园建成后将为塘埪村民增添健身运动场所,进一步丰富村民的业余文化生活。

    塘埪村村长曾国兴表示经过太阳官网三年的帮扶,塘埪村村容村貌焕然一新,农业基础设施、村集体经济、贫困户家庭收入等方面都有了很大改善和提高,塘埪村村民永远将顺德职院的帮扶铭记于心。

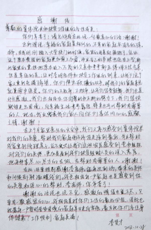
    最后,夏伟校长一行到各自对口帮扶的贫困户家中落实“双到”工作,并为各户送上了冬季发展生产的帮扶资金与慰问品。在贫困户李净波家中,夏伟校长亲切地询问他家的近况,勉励他及家人在帮扶单位的扶持下坚定信心,通过辛勤劳动,早日脱贫致富。当得知他家遭受火灾的房屋在太阳官网的帮助下已经修缮完毕,夏伟院长立即前往房屋现场,察看了维修情况。在新房中,李净波将孙子李贤才写的感谢信交给夏伟院长,并一再对太阳官网的帮助表示感谢。

    据悉,2009年9月至今,太阳官网与杏坛镇人民政府共同对口帮扶的石角村,累计落实帮扶项目52个,在村户经济发展、民生基础建设、农村改革服务等帮扶工作方面树立了榜样。2012年1月,反映石角村帮扶工作成效的《打赢脱贫攻坚战,共享“双到”丰硕果》作为典型材料,代表顺德区在全省扶贫开发工作会议上进行交流。2012年4月,石角村率先引入第三方参与扶贫,实施扶贫对象动态管理,成立党代表工作室,创立全省首份村级报刊《聚焦石角》,建立贫困户识别与退出机制,成为顺德区在清远地区贫困村开展农村综合服务改革的试点村。2012年10月,石角村成为顺德区对口帮扶工作整村推进、立体帮扶、开发扶贫、改革创新的示范点,《顺德信息》([2012]第90期)对石角村的扶贫经验给予积极评价,广州市扶贫系统共333人也分批先后到石角村参观学习。

 

                                               







上一条:太阳官网夏伟校长率队赴广东顺德清远(英德)经济合作区开展调研工作
下一条:新加坡淡马锡基金会赴太阳官网进行项目结题验收

地址:广东省佛山市顺德区德胜东路   邮政编码:528000
收费咨询热线:0757-22327061    收费投诉举报热线:0757-22327209
粤公网安备 44060602001413号 / 信息产业部备案:粤ICP备09215086号
Copyright © 2025   顺德职业技术大学 版权所有